关于解一元二次方程的方法有很多,难度也越来越大,我今天先教你们第一种方法解方法,这种配方法其实是基于直接开方法,利用开方和的完全平方公式特性来解。
方法/步骤
-
1
首先你要了解完全平方公式的结构:完全平方公式就是将一个两项系数的式子的平方变成三项,进行因式分解。用字母表示为:(a+b)²=a²+2ab+b²、(a-b)²=a²-2ab+b²。

-
2
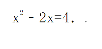
然后你拿到一个一元二次方程,你要先判断这个方程要用什么方法来解,比如下面的一个方程,你可以判断来决定使用配方法来解方程。

-
3
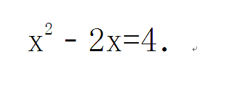
拿到方程的第一步,你得先移项,吧左边方程的常数项移到右边,我们的例子不用移,也就方便了一些。

-
4
然后将左边的方程式组成新的方程式,进行配方,组成原完全平方公式。


-
5
然后开方右边的方程式,去掉左边式子的平方再解。

-
6
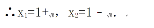
整理答案,如果最后右边的数在开方前是负数,则此方程唔实数根。
END
经验内容仅供参考,如果您需解决具体问题(尤其法律、医学等领域),建议您详细咨询相关领域专业人士。
作者声明:本篇经验系本人依照真实经历原创,未经许可,谢绝转载。
展开阅读全部
文章评论