设x,y,z是实数,求证:x^2+y^2+z^2>=x y+y z+z x。
这个问题,用初等数学的知识就可以很容易证明:
左边-右边=[(x-y)^2+(y-z)^2+(z-x)^2]/2>=0.
不过,还是要折腾一下Mathematica,看看Mathematica怎么证明这个不等式。
方法/步骤
-
1
FullSimplify[x^2+y^2+z^2>=x y+y z+z x]
直接化简表达式,没效果。

-
2
如果约定x、y、z都是实数,就会返回True,说明这个结论是对的。
FullSimplify[x^2+y^2+z^2>=x y+y z+z x,
Refine[Element[{x,y,z},Reals]]]

-
3
用Mathematica对x^2+y^2+z^2-x y-y z-z x进行配方,使之等于
(b*x+c*y+a*z)^2+(c*x+a*y+b*z)^2+(a*x+b*y+c*z)^2
只要求出a、b、c的值来,就行了。
f[x_,y_,z_]:=
(({a,b,c}.#&/@Table[RotateLeft[{x,y,z},n],{n,0,2}])^2//Total)
-(x^2+y^2+z^2-x y-y z-z x)
sol=Solve[f[0,0,1]==0&&f[1,0,0]==0&&f[0,1,0]==0&&f[1,1,1]==0&&f[1,2,3]==0,{a,b,c}]

-
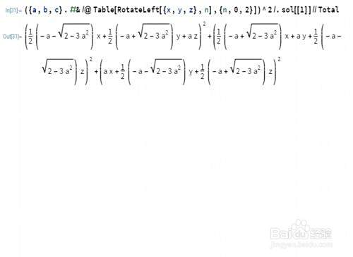
4
把a、b、c代入进去,得到配方式:
({a,b,c}.#&/@Table[RotateLeft[{x,y,z},n],{n,0,2}])^2/.sol[[1]]//Total

-
5
由于b、c都是用a来表示的,只有2-3 a^2≥0,才能保证b和c都是实数。
所以a^2≤2/3。
代入一个合适的数字a=0,恰好得到本文开始的那个式子。
(({a,b,c}.#&/@Table[RotateLeft[{x,y,z},n],{n,0,2}])^2/.sol[[1]]//Total)/.a->0

-
6
若是令a=Sqrt[1/3],那么配方式就变成了:
(({a,b,c}.#&/@Table[RotateLeft[{x,y,z},n],{n,0,2}]/.sol[[1]])/.a->Sqrt[1/3]//FullSimplify)^2//Total
END
文章评论